支持对全风险、多场景下金融产品的估值与风险管理
早期,由于缺乏有效的定价工具,期权交易在很大程度上依赖交易者的经验与直觉。直到20世纪70年代,布莱克(Black)、斯科尔斯(Scholes)和默顿(Merton)等人开创性地提出了布莱克-斯科尔斯模型,才为期权定价带来了革命性的突破。该模型凭借精妙的数学推导与对市场的合理假设,在学术界与实务界获得了广泛认可。

表为构建二叉树期权定价模型的关键假设
然而,布莱克-斯科尔斯模型并非完美无缺。它基于一系列较为严格的假设,如标的资产价格遵循几何布朗运动、无风险利率恒定、市场无摩擦等,在现实的金融市场中,这些假设往往难以完全成立。在这样的背景下,考克斯(Cox)、罗斯(Ross)和鲁宾斯坦(Rubinstein)于1979年提出了二叉树期权定价模型,其采用一种更为直观、离散的方式来刻画标的资产价格的变动过程,并将时间划分为多个微小的区间,在每个区间内,标的资产价格只有两种可能的变动方向——上升或者下降,就如同二叉树的分支一样。这种离散化的处理方式,不仅使得模型更容易被理解与应用,还能更好地贴合实际市场中价格的非连续变动特征,对布莱克-斯科尔斯模型形成了重要的补充与拓展。本文旨在深入剖析二叉树期权定价模型,从基本原理出发,逐步探讨模型的构建、求解过程,以及在不同期权类型和复杂市场情形下的应用与拓展,进而揭示其在期权定价领域的重要地位与深远影响。
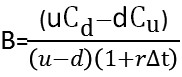
为了清晰地阐述二叉树模型的基本思想,我们先从最简单的单期模型入手。假设当前标的资产价格为S0,期权的执行价格为K,期权有效期为△t。在期末,标的资产价格有两种可能:S0u(价格上升)和S0d(价格下降)。对应的期权价值也会有两种情况:如果是看涨期权,当价格上升时,期权价值为Cu=max(S0u-K,0);当价格下降时,期权价值为Cd=max(S0d-K,0)。根据无套利原理,我们可以构造一个由标的资产和无风险债券组成的复制组合,使得该组合在期末的价值与期权的价值完全相同。假设复制组合持有△份标的资产,同时借入B金额的无风险资金。在期末,当标的资产价格上升时,组合的价值为△S0u-B(1+r△t),这个价值应等于Cu;当标的资产价格下降时,组合的价值为△S0d-B(1+r△t),应等于Cd。由此可以得到方程组:

解这个方程组,可得到△=S0(u-d)Cu-Cd(这就是对冲比率,也称为Delta值),以及
。因为复制组合的当前价值应该等于期权的当前价值C0,而复制组合的当前价值为△S0-B,所以
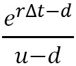
。其中
,被称为风险中性概率。这里的风险中性概率是一个关键概念,它并非实际的概率,而是在无套利假设下,为了方便计算而引入的一种虚拟概率。在风险中性世界中,所有资产的预期收益率都等于无风险利率,这使得期权定价变得更加简洁。
单期模型是多期模型的基础。对于多期二叉树模型,我们可以通过从后向前的递归方法来计算期权的价值。以n期模型为例,先确定在第n期(期权到期时),标的资产价格的所有可能取值,以及对应的期权价值[对于看涨期权,为max(ST-K,0);对于看跌期权,为max(KS-T,0)]。然后,从第n-1期开始,对于每个节点,利用单期模型的公式,计算该节点处的期权价值。即根据下一期(第n期)两个子节点的期权价值,结合风险中性概率p和无风险利率,折算出当前节点的期权价值。依次向前递归,直到计算出第0期(当前时刻)的期权价值,这就是整个期权的当前价值。在多期模型中,标的资产价格的可能取值数量随着期数的增加而呈指数增长,第i期(i=0,1,……,n)共有i+1种可能的价格,分别对应着i次上升和n-i次下降的组合。
在二叉树模型的应用过程中,参数u、d和p的确定至关重要,它们直接影响到期权定价的准确性。上升因子u和下降因子d:通常有多种方法来确定u和d。一种常见的方法是基于标的资产价格的波动率σ。在风险中性假设下,标的资产价格的对数收益率的方差应与实际情况相符。由于在时间△t内,价格上升的对数收益率为lnu,下降的对数收益率为lnd,且风险中性概率下的预期收益率为r△t,方差为σ2△t,可以得到方程组:

结合p=
,可以解出u和d。例如,考克斯-罗斯-鲁宾斯坦(CRR)模型中,取u=
,此时p=
。这种选择使得二叉树模型在期数n趋近于无穷大时,能够收敛到布莱克-斯科尔斯模型,保证了模型的一致性。
对于看跌期权,其定价原理与看涨期权类似,只是在计算各节点的期权价值时,公式变为P=max(K-S,0)(P为看跌期权价值,S为标的资产价格)。投资者同样可以通过二叉树模型,从后向前递归计算得到看跌期权的当前价值。此外,根据期权平价公式,看涨期权与看跌期权之间存在一定的关系:C-P=S-Ke-rT(C为看涨期权价值,P为看跌期权价值)。我们可以利用这个公式来验证二叉树模型计算结果的准确性,或者在已知其中一种期权价值的情况下,计算另一种期权的价值。
美式期权与欧式期权的主要区别在于,美式期权可以在期权有效期内的任何时间行使权利,而欧式期权只能在到期时行使。这一差异使得美式期权的定价更为复杂,因为需要考虑提前行权的可能性。二叉树模型非常适合用于美式期权的定价,因为它可以在每个节点上判断提前行权是否有利可图。具体来说,在计算每个节点的期权价值时,不仅要计算按照欧式期权方式(持有到期)的价值,还要计算提前行权的价值(对于看涨期权,为S-K;对于看跌期权,为K-S),然后取两者中的较大值作为该节点的期权价值。例如,对于美式看涨期权,在某个节点,如果标的资产价格S远高于执行价格K,且后续价格上升的空间不大,那么提前行权可能更为有利。此时该节点的期权价值应取S-K,而不是按照欧式方式折现后的价值。通过这种方式,二叉树模型能够准确地反映美式期权提前行权的价值。
尽管二叉树模型具有直观、灵活的优势,但在实际应用中仍存在局限性。随着期数n的增加,节点数量呈指数级增长(n期模型有n+1个终端节点)。当需要高精度定价或处理多因子模型时,计算量会急剧上升,可能导致运算速度变慢,难以满足高频交易的实时定价需求。模型结果对波动率σ的依赖性极强,若输入的波动率与实际市场波动率偏差较大,会直接导致期权定价出现显著误差,即“波动率风险”。
二叉树期权定价模型自1979年提出以来,凭借其离散化的直观框架、对无套利原理的精准应用,以及对美式期权、股息支付资产等场景的灵活适配,成为期权定价领域的“基石”。它不仅弥补了布莱克-斯科尔斯模型的假设局限,还为复杂衍生品定价提供了可扩展的基础框架。尽管模型面临计算效率、波动率风险等挑战,但通过算法优化、技术融合,其应用边界仍在不断拓展。在金融市场日益复杂、衍生品创新层出不穷的背景下,二叉树模型将继续发挥“桥梁作用”,不仅作为入门级工具帮助从业者理解期权定价的核心逻辑,还作为复杂定价系统的基础模块,支持对全风险、多场景下金融产品的估值与风险管理,持续为金融市场的稳定运行与创新发展提供支撑。
Copyright © 2024-2025 成都宁时科技有限公司 版权所有